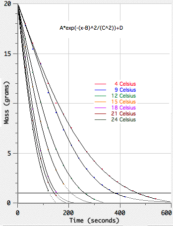
Mass-time curves for ice cubes

Graph 2 - Gaussian functions have been fitted to the data points.