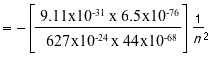
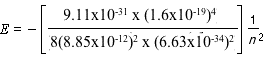
Converting from Joules to electron volts gives
.
...
E
= -13.4 /
n
2
eV
... and the ionizaton energy is 13.4 eV.