The lens maker's formula |
|
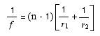
The lensmaker's formula gives the focal length as.... ... where n is the refractive index. The radius of curvature is positive for a converging surface and negative for a diverging surface. At once, f = r for a symmetrical convex glass lens (n = 1.5). |
| The focal lengths of the two outer glass lenses are shown. Print and complete the diagram for the other two lenses. |