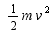
Kinetic energy

 Energy of motion is defined in Joules as ...

Thomas Young - famous for establishing the wave theory of light - was the first person to call mv2 ENERGY.

> More